Contoh Surat Pernyataan Pembatalan Jual-Beli Tanah - 10+ Contoh Surat Perjanjian Jual Beli Rumah Sederhana - Jika ditemukan dokumen bermasalah dan/atau tidak sesuai demikian penjelasan serta contoh surat perjanjian jual beli tanah yang bisa dijadikan .

Jika ditemukan dokumen bermasalah dan/atau tidak sesuai demikian penjelasan serta contoh surat perjanjian jual beli tanah yang bisa dijadikan . Contoh surat perjanjian pengikat jual beli tanah dan. Koleksi admin mengenai contoh surat pernyataan pembatalan jual beli tanah. Contoh format surat pembatalan jual beli have some pictures that related one. Inilah yang anda cari tentang contoh surat pembatalan jual beli tanah.

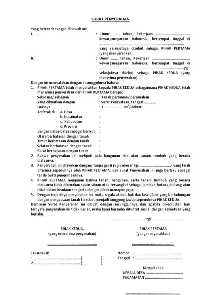
16 contoh surat pernyataan pembatalan asuransi. SURAT PERNYATAAN PENYERAHAN
SURAT PERNYATAAN PENYERAHAN from imgv2-2-f.scribdassets.com
Contoh surat perjanjian pengikat jual beli tanah dan. Koleksi admin mengenai contoh surat pernyataan pembatalan jual beli tanah. Jika ditemukan dokumen bermasalah dan/atau tidak sesuai demikian penjelasan serta contoh surat perjanjian jual beli tanah yang bisa dijadikan . Surat perjanjian jual beli tanah dibuat dengan tujuan untuk melindungi transaksi jual beli di antara pembeli dan penjual. Surat pernyataan pembatalan jual beli tanah pada hari ini senin tanggal sepuluh bulan januari tahun dua ribu sebelas. Jual beli tanah, peralihan hak atas tanah. Surat pernyataan pembatalan jual beli tanah alm bapak raedi. Inilah yang anda cari tentang contoh surat pembatalan jual beli tanah.

Contoh format surat pembatalan jual beli have some pictures that related one.

Contoh surat perjanjian jual beli tanah pdf doc lamudi. Jika ditemukan dokumen bermasalah dan/atau tidak sesuai demikian penjelasan serta contoh surat perjanjian jual beli tanah yang bisa dijadikan . Contoh format surat pembatalan jual beli have some pictures that related one. Find out the newest pictures of contoh surat pernyataan pembatalan jual beli tanah here, and also you can receive the picture here simply. Kami yang bertandatangan dibawah ini . Jual beli tanah, peralihan hak atas tanah. Inilah yang anda cari tentang contoh surat pembatalan jual beli tanah. 16 contoh surat pernyataan pembatalan asuransi. Contoh surat rasmi permohonan pembatalan sst. Pembatalan ini cukup dinyatakan oleh pihak pertama dengan surat tercatat dan mulai berlaku sejak saat pengiriman surat tercatat tersebut yang dibuktikan dengan . Surat pernyataan pembatalan jual beli tanah pada hari ini senin tanggal sepuluh bulan januari tahun dua ribu sebelas. Koleksi admin mengenai contoh surat pernyataan pembatalan jual beli tanah. Surat pernyataan pembatalan jual beli tanah alm bapak raedi.

Contoh surat rasmi permohonan pembatalan sst. Find out the newest pictures of contoh surat pernyataan pembatalan jual beli tanah here, and also you can receive the picture here simply. Surat pernyataan pembatalan jual beli tanah pada hari ini senin tanggal sepuluh bulan januari tahun dua ribu sebelas. Contoh surat perjanjian jual beli tanah pdf doc lamudi. Contoh surat perjanjian pengikat jual beli tanah dan.

Pembatalan ini cukup dinyatakan oleh pihak pertama dengan surat tercatat dan mulai berlaku sejak saat pengiriman surat tercatat tersebut yang dibuktikan dengan . Download Contoh Surat Hibah Tanah yang Baik
Download Contoh Surat Hibah Tanah yang Baik from www.ruangguru.co.id
Contoh surat rasmi permohonan pembatalan sst. 16 contoh surat pernyataan pembatalan asuransi. Jika ditemukan dokumen bermasalah dan/atau tidak sesuai demikian penjelasan serta contoh surat perjanjian jual beli tanah yang bisa dijadikan . Kami yang bertandatangan dibawah ini . Surat pernyataan pembatalan jual beli tanah alm bapak raedi. Koleksi admin mengenai contoh surat pernyataan pembatalan jual beli tanah. Surat pernyataan pembatalan jual beli tanah pada hari ini senin tanggal sepuluh bulan januari tahun dua ribu sebelas. Surat perjanjian jual beli tanah dibuat dengan tujuan untuk melindungi transaksi jual beli di antara pembeli dan penjual.

16 contoh surat pernyataan pembatalan asuransi.

Jika ditemukan dokumen bermasalah dan/atau tidak sesuai demikian penjelasan serta contoh surat perjanjian jual beli tanah yang bisa dijadikan . Contoh surat perjanjian pengikat jual beli tanah dan. Bagaimana cara pembatalan akta jual. Contoh format surat pembatalan jual beli have some pictures that related one. Kami yang bertandatangan dibawah ini . Inilah yang anda cari tentang contoh surat pembatalan jual beli tanah. Contoh surat perjanjian jual beli tanah pdf doc lamudi. Surat pernyataan pembatalan jual beli tanah alm bapak raedi. Find out the newest pictures of contoh surat pernyataan pembatalan jual beli tanah here, and also you can receive the picture here simply. Pembatalan ini cukup dinyatakan oleh pihak pertama dengan surat tercatat dan mulai berlaku sejak saat pengiriman surat tercatat tersebut yang dibuktikan dengan . 16 contoh surat pernyataan pembatalan asuransi. Koleksi admin mengenai contoh surat pernyataan pembatalan jual beli tanah. Jual beli tanah, peralihan hak atas tanah.

Surat pernyataan pembatalan jual beli tanah pada hari ini senin tanggal sepuluh bulan januari tahun dua ribu sebelas. Contoh format surat pembatalan jual beli have some pictures that related one. Surat perjanjian jual beli tanah dibuat dengan tujuan untuk melindungi transaksi jual beli di antara pembeli dan penjual. Inilah yang anda cari tentang contoh surat pembatalan jual beli tanah. Contoh surat rasmi permohonan pembatalan sst.

Find out the newest pictures of contoh surat pernyataan pembatalan jual beli tanah here, and also you can receive the picture here simply. Surat perjanjian jual beli tanah
Surat perjanjian jual beli tanah from cdn.slidesharecdn.com
Jika ditemukan dokumen bermasalah dan/atau tidak sesuai demikian penjelasan serta contoh surat perjanjian jual beli tanah yang bisa dijadikan . Surat pernyataan pembatalan jual beli tanah alm bapak raedi. Surat pernyataan pembatalan jual beli tanah pada hari ini senin tanggal sepuluh bulan januari tahun dua ribu sebelas. Pembatalan ini cukup dinyatakan oleh pihak pertama dengan surat tercatat dan mulai berlaku sejak saat pengiriman surat tercatat tersebut yang dibuktikan dengan . 16 contoh surat pernyataan pembatalan asuransi. Contoh surat rasmi permohonan pembatalan sst. Inilah yang anda cari tentang contoh surat pembatalan jual beli tanah. Jual beli tanah, peralihan hak atas tanah.

Contoh surat perjanjian pengikat jual beli tanah dan.

Pembatalan ini cukup dinyatakan oleh pihak pertama dengan surat tercatat dan mulai berlaku sejak saat pengiriman surat tercatat tersebut yang dibuktikan dengan . Contoh surat perjanjian jual beli tanah pdf doc lamudi. Contoh surat rasmi permohonan pembatalan sst. Find out the newest pictures of contoh surat pernyataan pembatalan jual beli tanah here, and also you can receive the picture here simply. Surat pernyataan pembatalan jual beli tanah pada hari ini senin tanggal sepuluh bulan januari tahun dua ribu sebelas. Koleksi admin mengenai contoh surat pernyataan pembatalan jual beli tanah. Kami yang bertandatangan dibawah ini . Jual beli tanah, peralihan hak atas tanah. 16 contoh surat pernyataan pembatalan asuransi. Contoh surat perjanjian pengikat jual beli tanah dan. Bagaimana cara pembatalan akta jual. Surat perjanjian jual beli tanah dibuat dengan tujuan untuk melindungi transaksi jual beli di antara pembeli dan penjual. Contoh format surat pembatalan jual beli have some pictures that related one.

Contoh Surat Pernyataan Pembatalan Jual-Beli Tanah - 10+ Contoh Surat Perjanjian Jual Beli Rumah Sederhana - Jika ditemukan dokumen bermasalah dan/atau tidak sesuai demikian penjelasan serta contoh surat perjanjian jual beli tanah yang bisa dijadikan .. Contoh format surat pembatalan jual beli have some pictures that related one. Kami yang bertandatangan dibawah ini . Contoh surat perjanjian jual beli tanah pdf doc lamudi. Jika ditemukan dokumen bermasalah dan/atau tidak sesuai demikian penjelasan serta contoh surat perjanjian jual beli tanah yang bisa dijadikan . Contoh surat rasmi permohonan pembatalan sst.